Vážení rodiče,
v úterý 28. 4. od 15:30 Vás srdečně zveme na naši tradiční akci "Pálení čarodějnic".

Den otevřených dveří v naší mateřské škole bude probíhat dne 17. 3. 2026.
V pátek 20. 3. 2026 s dětmi přivítáme jaro vynášením Moreny.

Vážení rodiče,
srdečně Vás zveme na tradiční Velikonoční jarmark.

Mateřská škola NA OSADĚ, Brno, Koperníkova 6 přijme jednu pracovní sílu na pozici kuchařky a provozní pracovnice za delší pracovní neschopnost. Jedná se o plný úvazek, nástup možný ihned.
V případě zájmu a pro bližší informace kontaktujte ředitelku MŠ osobně, případně telefonicky.
Kontakt: 541 241 331, mob. 720 983 965
Vážení rodiče,
vánoční prázdniny začínají v pondělí 22. 12. 2025 a končí v pátek 2. 1. 2026.
Provoz mateřské školy bude zahájen v pondělí 5. ledna 2026.
Přejeme Vám klidný adventní čas.
Bc. Jarmila Dvořáková, ředitelka MŠ
Přednáška je určena všem rodičům z MŠ.
Srdečně zveme všechny děti a rodiče na PODZIMNÍ STEZKU S ÚKOLY na zahradě MŠ.
Vážení rodiče, můžete přihlašovat své děti do kroužků, které v MŠ zajišťuje firma RYTMIK.
- Malý zálesák a přírodovědec (pondělí 15:00 - 15:45)
- Malý olympionik (čtvrtek 15:00 - 15:45)
Přihlášky, bližší informace a kontakty naleznete na www.rytmik-krouzky.cz
Schůzky rodičů
Ve čtvrtek 11. 9. 2025 v 16.00 hod. budou ve třídě C (Žluťásci) schůzky rodičů.
Program:
- Informace na školní rok 2025/2026
- Informace Sdružení rodičů OSADNÍČEK
- Informační schůzky s třídními učitelkami v jednotlivých třídách
Prosíme všechny rodiče o účast bez přítomnosti dětí!
Vážení rodiče,
od 1. 9. bude nový systém otvírání branky z ulice Koperníkova a vstupu do budov. Vaše stávající ČIPY jsou nefunkční a je potřeba je vyměnit za nové. Prosíme Vás o přinesení všech čipů v den nástupu vašeho dítěte do školky. Nové čipy se budou rozdávat ve spojovacím tunelu v pondělí 1. 9. od 6:30 do 9:00.
Rodiče nových dětí si nové čipy vyzvednou oproti záloze 100 Kč/čip, (prosíme o přesnou částku).
Děkujeme za spolupráci.
Pondělí 1. 9. – zahájení provozu MŠ
Úterý 28. 10. - státní svátek - MŠ uzavřena
Podzimní prázdniny: pondělí 27. 10. (MŠ uzavřena) a středa 29. 10. - omezení provozu podle počtu nahlášených dětí
Vánoční prázdniny: pondělí 22. 12. - pátek 2. 1. 2026 - MŠ uzavřena (provoz začne v pondělí 5. ledna 2026)
Pololetní prázdniny: pátek 30. 1. - omezení provozu podle počtu nahlášených dětí
Jarní prázdniny: pondělí 16. 2. - neděle 22. 2. - omezení provozu podle počtu nahlášených dětí
Velikonoční prázdniny: čtvrtek 2. 4. - omezení provozu podle počtu nahlášených dětí
Pátek 3. 4. a pondělí 6. 4. - státní svátek - MŠ uzavřena
Pátek 1. 5. - státní svátek - MŠ uzavřena
Pátek 8. 5. - státní svátek - MŠ uzavřena
Letní prázdniny: provoz MŠ bude upřesněn
Prázdniny již pomalu končí, věříme, že jste si je s dětmi hezky užili.
INFORMACE NA ŠKOLNÍ ROK 2025/2026
- Školní rok začíná v pondělí 1. 9. (MŠ otevřena od 6:30 hod.)
- V případě, že Vaše dítě nebude první den obědvat, je potřeba odhlásit oběd do pátku 29. 8. do 12 hod.
Co potřebuje Vaše dítě do MŠ:
- papučky s plnou patou
- oblečení do třídy
- oblečení na pobyt venku
- náhradní oblečení (včetně spodního prádla)
- pyžamo
- pláštěnku
Vše řádně podepsané.
První den rodiče podepíší a vyplní:
1/ POTVRZENÍ O BEZINFEKČNOSTI
2/ SEZNÁMENÍ SE ŠKOLNÍM ŘÁDEM
3/ POVĚŘENÍ
4/ ADAPTAČNÍ DOTAZNÍK
- první den počítejte s delším zdržením při předávání dětí (vyplňování potřebných dokumentů)
- další informace čtěte na nástěnkách v šatnách MŠ
Celý kolektiv mateřské školy se těší na Vaše děti.
Ve středu 25. 6. bude vedoucí stravování vybírat čipy a vracet zálohy rodičům dětí, které končí docházku do MŠ, nebo přechází do logopedické třídy.
Vážení rodiče,
vzhledem k probíhajícím opravám oplocení, bude z bezpečnostních důvodů od dnešního dne 12. 6. 2025 uzavřen vstup do mateřské školy z ulice Koperníkova.
Vstup do mateřské školy bude do odvolání možný pouze ze Staré osady.
Děkujeme za pochopení.
Zveme všechny děti z MŠ a rodiče NA SLAVNOSTNÍ ROZLOUČENÍ S PŘEDŠKOLÁKY "PASOVÁNÍ NA PRVŇÁČKY".
Vážení rodiče,
v úterý 6. 5. od 15:30 Vás srdečně zveme na naši tradiční akci "Pálení čarodějnic".
V pátek 4. 4. se v dopoledních hodinách uskuteční školní akce „ODEMYKÁNÍ ZAHRADY SE SKŘÍTKEM OSADNÍČKEM“.
Vážení rodiče,
srdečně Vás zveme na tradiční Velikonoční jarmark.
Vážení rodiče, Odbor školství a mládeže MMB Vás srdečně zve na jarní cyklus webinářů pro rodiče dětí v mateřské škole a dětí, které se na vstup do mateřské školy připravují. Webinář je realizovaný v rámci projektu MAP IV.
Vážení rodiče, s blížícím se koncem školního roku bude končit funkční období v našem spolku při MŠ NA OSADĚ „OSADNÍČEK“ maminkám dětí, které nastupují do prvních tříd základních škol. Tímto hledáme v našich řadách rodičů šikovné maminky a tatínky, kteří by se stali členy výboru našeho spolku.
Hlavním cílem je pomoci mateřské školce financovat kulturní a sportovní akce, kterých se naše děti účastní. Ze získaných peněz pomáháme přispět na nákup hraček, didaktických pomůcek, dárků, sladkých odměn a občerstvení při soutěžních akcích.
Pomáháme zorganizovat akce, při nichž se vždy společně pobavíme a poznáme. Toto vše se nám úspěšně daří z vybraných členských příspěvků a za to Vám všem velké díky. Velice nás těší být nápomocni školce a ovlivnit tak, s čím si naši děti hrají a jak tráví čas v naší školce.
Jedná se již o rozjetý vlak a vše podstatné vysvětlíme. Těšíme se na Vás. 😊
Členové výboru OSADNÍČEK.
Emailová adresa: osadnicekspolek@gmail.com, na které Vám zodpoví případné otázky. Případně se domluvíme na osobním setkaní.
Vážení rodiče, Odbor školství a mládeže MMB Vás srdečně zve na jarní cyklus webinářů pro rodiče dětí v mateřské škole a dětí, které se na vstup do mateřské školy připravují. Webinář je realizovaný v rámci projektu MAP IV.
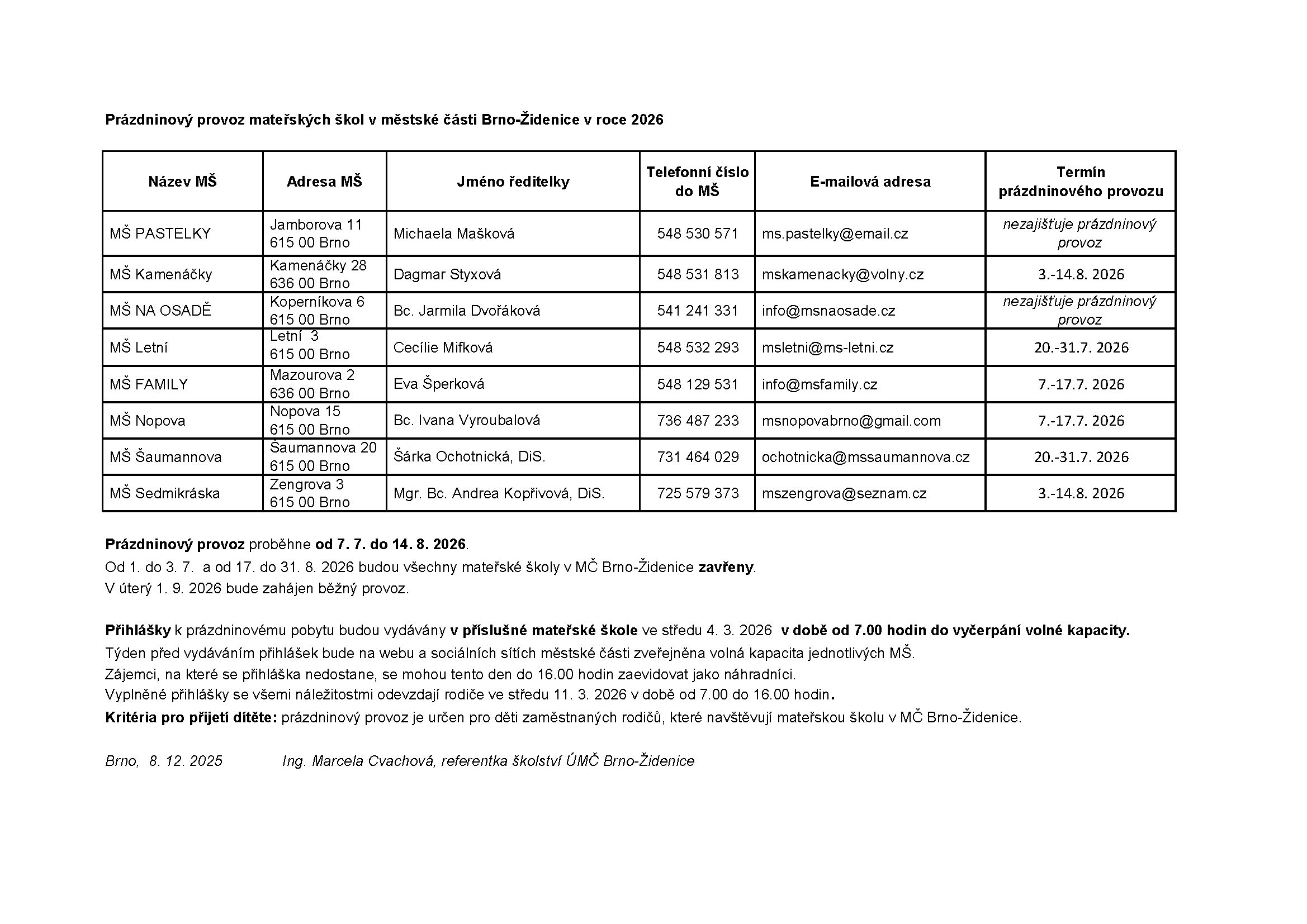
Provoz mateřské školy NA OSADĚ, Brno, Koperníkova 6 bude probíhat od 30. 6. – 11. 7. 2025. Prosíme rodiče o vyplnění docházky na prázdninový pobyt dítěte v naší mateřské škole.
Podrobnější informace o prázdninovém provozu v náhradních mateřských školách v MČ Brno - Židenice najdete na nástěnkách u jednotlivých tříd nebo ZDE: Prázdninový provoz mateřských škol v městské části Brno-Židenice v roce 2025.
V týdnu od 25. 8. do 29. 8. 2025 budou všechny mateřské školy zavřeny.
Přihlášky k prázdninovému pobytu budou vydávány v příslušné mateřské škole ve středu 12. 3. 2025 v době od 7.00 hodin do vyčerpání volné kapacity.
Zájemci, na které se přihláška nedostane, se mohou tento den do 16.00 hodin zaevidovat jako náhradníci.
Vyplněné přihlášky se všemi náležitostmi odevzdají rodiče ve středu 19. 3. 2025 v době od 7.00 do 16.00 hodin.
Kritéria pro přijetí dítěte: prázdninový provoz je určen pro děti zaměstnaných rodičů, které navštěvují mateřskou školu v MČ Brno-Židenice.
Školní rok 2025/2026 bude zahájen v pondělí 1. 9. 2025.
Vážení rodiče,
Odbor školství a mládeže MMB Vás srdečně zve na webinář realizovaný v rámci projektu MAP IV.
Srdečně zveme všechny děti a rodiče na tradiční školní akci ZAMYKÁNÍ ZAHRADY SE SKŘÍTKEM OSADNÍČKEM.
Vážení rodiče, můžete přihlašovat své děti do kroužků Seznamování s angličtinou (úterý nebo středa 15:00 - 15:30) a Plavání, zápisem jeho značky na plakátku v šatně nebo přímo u paní učitelky na třídě.
Pro přihlášení do kroužku Malý olympionik (pondělí 15:00 - 15:45), který v MŠ zajišťuje firma RYTMIK, využijte tento link.
K přihlášení do kroužku Hravá jóga (čtvrtek 15:00 - 16:00), který v MŠ zajišťuje firma Na vlně dechu, využijte kontaktní formulář webové stránky, který najdete zde.
Informace pro rodiče
Výběr zálohy na čipy pro nové děti (100 Kč) a výdej čipů, bude probíhat ve středu 4. 9. u vedoucí stravování v době jejích pokladních hodin (7.00 - 12.00, 12.30 - 16.30).
Schůzky rodičů
Ve středu 11. 9. 2024 v 16.00 hod. budou ve třídě C (Žluťásci) schůzky rodičů.
Program:
- Informace na školní rok 2024/2025
- Informace Sdružení rodičů OSADNÍČEK
- Informační schůzky s třídními učitelkami v jednotlivých třídách
Prosíme všechny rodiče o účast bez přítomnosti dětí!
Pondělí 2. 9. – zahájení provozu MŠ
Pondělí 28. 10. - státní svátek - MŠ uzavřena
Podzimní prázdniny: úterý 29. 10. - středa 30. 10. - omezení provozu podle počtu nahlášených dětí
Vánoční prázdniny: pondělí 23. 12. - pátek 3. 1. 2025 - MŠ uzavřena (provoz začne v pondělí 6. ledna 2025)
Pololetní prázdniny: pátek 31. 1. - omezení provozu podle počtu nahlášených dětí
Jarní prázdniny: pondělí 10. 2. - neděle 16. 2. - omezení provozu podle počtu nahlášených dětí
Velikonoční prázdniny: čtvrtek 17. 4. - omezení provozu podle počtu nahlášených dětí
Pátek 18. 4. a pondělí 21. 4. - státní svátek - MŠ uzavřena
Čtvrtek 1. 5. - státní svátek - MŠ uzavřena
Čtvrtek 8. 5. - státní svátek - MŠ uzavřena
Letní prázdniny: 28. 6. - 31. 8. 2024, provoz MŠ bude upřesněn
Prázdniny již pomalu končí, věříme, že jste si je s dětmi hezky užili.
INFORMACE NA ŠKOLNÍ ROK 2024/2025
- Školní rok začíná v pondělí 2. 9. (MŠ otevřena od 6:30 hod.)
- V případě, že Vaše dítě nebude první den obědvat, je potřeba odhlásit oběd do pátku 30. 8. do 12 hod.
Co potřebuje Vaše dítě do MŠ:
- papučky s plnou patou
- oblečení do třídy
- oblečení na pobyt venku
- náhradní oblečení (včetně spodního prádla)
- pyžamo
- pláštěnku
- plastový hrníček
Vše řádně podepsané.
První den rodiče podepíší a vyplní:
1/ POTVRZENÍ O BEZINFEKČNOSTI
2/ SEZNÁMENÍ SE ŠKOLNÍM ŘÁDEM
3/ POVĚŘENÍ
4/ ADAPTAČNÍ DOTAZNÍK
- první den počítejte s delším zdržením při předávání dětí (vyplňování potřebných dokumentů)
- další informace čtěte na nástěnkách v šatnách MŠ
Celý kolektiv mateřské školy se těší na Vaše děti.
Od 1. 9. 2024 dochází ke zvýšení platby za stravné. Více informací
Ve středu 26. 6. bude vedoucí stravování vybírat čipy a vracet zálohy rodičům dětí, které končí docházku do MŠ, nebo přechází do logopedické třídy.
Zveme všechny děti z MŠ a rodiče NA SLAVNOSTNÍ ROZLOUČENÍ S PŘEDŠKOLÁKY "PASOVÁNÍ NA PRVŇÁČKY"
Vzhledem k tomu, že v červenci bude provoz mateřské školy omezen pouze na 14 dní (8. 7. – 19. 7. 2024) a v měsíci srpnu bude mateřská škola uzavřena, stanovila ředitelka MŠ NA OSADĚ, Brno, Koperníkova 6 podle §6 odstavce 5 vyhlášky č. 14/ 2005 Sb. úplatu za předškolní vzdělávání takto:
- Červenec 325 Kč
- Srpen 0 Kč
Prosíme rodiče, aby úhradu za měsíc červenec zaplatili v květnu společně s úhradou za měsíc červen.
V Brně 15. 5. 2024
Bc. Jana Křivánková, ředitelka MŠ NA OSADĚ
Brno, Koperníkova 6
Vážení rodičeꓹ
v úterý 21. 5. od 15:30 Vás srdečně zveme na naši tradiční akci „Pálení čarodějnic“.
Vážení rodičeꓹ
v úterý 23. 4. od 15:30 Vás srdečně zveme na naši tradiční akci „Pálení čarodějnic“.
Ve čtvrtek 4. 4. se v dopoledních hodinách uskuteční školní akce „ODEMYKÁNÍ ZAHRADY SE SKŘÍTKEM OSADNÍČKEM“.
Vážení rodiče,
Odbor školství a mládeže MMB Vás srdečně zve na webináře a semináře realizované v rámci projektu MAP IV.
Provoz mateřské školy NA OSADĚ, Brno, Koperníkova 6 bude probíhat od 8. 7. – 19. 7. 2024.
Prosíme rodiče o vyplnění docházky na prázdninový pobyt dítěte v naší mateřské škole a v případě potřeby i v náhradní mateřské škole.
Prázdninový provoz v náhradních mateřských školách v MČ Brno-Židenice bude zajištěn od 8. 7. do 16. 8. 2024. Podrobnější informace najdete na nástěnkách u jednotlivých tříd nebo ZDE: Prázdninový provoz mateřských škol v městské části Brno-Židenice v roce 2024
Od 19. 8. – do 30. 8. 2024 budou všechny mateřské školy v MČ Brno-Židenice uzavřeny.
Přihlášky k prázdninovému pobytu dítěte si mohou rodiče vyzvednout v příslušné mateřské škole ve středu 6. března 2024 v době od 7. 00 do vyčerpání kapacity. Termín odevzdání přihlášky je ve středu 13. března 2024 v době od 7. 00 do 16. 00 hod.
Kritéria pro přijetí dítěte: děti zaměstnaných rodičů, které navštěvují mateřskou školu v MČ Brno-Židenice.
Školní rok 2024/2025 bude zahájen v pondělí 2. 9. 2024.
Vážení rodiče.
Vánoční prázdniny začínají v sobotu 23. 12. 2023 a končí v úterý 2. 1. 2024. Provoz mateřské školy začíná ve středu 3. ledna 2024. Uzavření mateřské školy o vánočních prázdninách bylo projednáno se zřizovatelem a vzhledem k tomu, že délka uzavření MŠ potrvá méně než 5 pracovních dnů, nebude mít vliv na výši školného.
Přejeme Vám klidný adventní čas.
Bc. Jana Křivánková, ředitelka MŠ
Vážení rodiče.
Zaměstnanci naší mateřské školy se připojují ke stávce dne 27. 11. 2023 a to formou přerušení práce. Mateřská škola bude v tento den uzavřena.
Bc. Jana Křivánková, ředitelka MŠ NA OSADĚ
Brno, Koperníkova 6
Dopis školských odborů rodičům
Vážení rodiče,
chtěli bychom Vás požádat o zaslání členského příspěvku ve výši 1500 Kč na č. účtu 2002705943/2010 do konce listopadu 2023. Prosím do zprávy pro příjemce zadejte jméno dítěte a třídu. Podrobnější informace a QR kód k platbě najdete na nástěnce v šatně nebo chodbě.
Zájemci o Edukativně stimulační skupiny se mohou hlásit u své třídní paní učitelky. Více informací.
Srdečně zveme všechny děti a rodiče na tradiční školní akci ZAMYKÁNÍ ZAHRADY SE SKŘÍTKEM OSADNÍČKEM.
Náhradní termín: čtvrtek 9. 11. v 16:00 hodin na zahradě MŠ.
Vážení rodiče, můžete přihlašovat své děti do kroužků Seznamování s angličtinou (úterý nebo středa 15:00 - 15:30) a Plavání, zápisem jeho značky na plakátku v šatně nebo přímo u paní učitelky na třídě.
Pro přihlášení do kroužků Malý olympionik (pondělí 15:00 - 15:45) a Taneční a pohybový kroužek (čtvrtek 15:00 - 15:45), které v MŠ zajišťuje firma RYTMIK, využijte tento link.
Výběr zálohy na čipy pro nové děti (100 Kč) a výdej čipů, bude probíhat v úterý 5. 9. v hodinách od 7.00 do 9.30 ve spojovací chodbě.
V úterý 12. 9.2023 v 16.00 hod. budou ve třídě C (Žluťásci) schůzky rodičů.
Program:
- Informace na školní rok 2023/2024
- Informace Sdružení rodičů OSADNÍČEK
- Informační schůzky s třídními učitelkami v jednotlivých třídách
Prosíme všechny rodiče o účast bez přítomnosti dětí!
Pondělí 4. 9. – zahájení provozu MŠ
Čtvrtek 28. 9. - státní svátek - MŠ uzavřena
Pátek 29. 9. – MŠ uzavřena z ekonomických důvodů
Podzimní prázdniny: čtvrtek 26. 10. a pátek 27. 10. - omezení provozu podle počtu nahlášených dětí
Pátek 17. 11. - státní svátek - MŠ uzavřena
Vánoční prázdniny: sobota 23. 12. - úterý 2. 1. 2024 - MŠ uzavřena (provoz začne ve středu 3. ledna 2024)
Pololetní prázdniny: pátek 2. 2. - omezení provozu podle počtu nahlášených dětí
Jarní prázdniny: pondělí 5. 2. - neděle 11. 2. - omezení provozu podle počtu nahlášených dětí
Velikonoční prázdniny: čtvrtek 28. 3. - omezení provozu podle počtu nahlášených dětí
Pátek 29. 3. a pondělí 1. 4. - státní svátek - MŠ uzavřena
Středa 1. 5. - státní svátek - MŠ uzavřena
Středa 8. 5. - státní svátek - MŠ uzavřena
Letní prázdniny: sobota 29. 6. - neděle 1. 9. 2024, provoz MŠ bude upřesněn
Prázdniny již pomalu končí, věříme, že jste si je s dětmi hezky užili.
INFORMACE NA ŠKOLNÍ ROK 2023/2024
- Školní rok začíná v pondělí 4. 9. (MŠ otevřena od 6:30 hod.)
- V případě, že Vaše dítě nebude první den obědvat, je potřeba odhlásit oběd do pátku 1. 9. do 12 hod.
Co potřebuje Vaše dítě do MŠ:
- papučky s plnou patou
- oblečení do třídy
- oblečení na pobyt venku
- náhradní oblečení (včetně spodního prádla)
- pyžamo
- pláštěnku
- plastový hrníček
Vše řádně podepsané.
První den rodiče podepíší a vyplní:
1/POTVRZENÍ O BEZINFEKČNOSTI
2/ SEZNÁMENÍ SE ŠKOLNÍM ŘÁDEM
3/ POVĚŘENÍ
4/ ADAPTAČNÍ DOTAZNÍK
- první den počítejte s delším zdržením při předávání dětí (vyplňování potřebných dokumentů)
- další informace čtěte na nástěnkách v šatnách MŠ
Celý kolektiv mateřské školy se těší na Vaše děti.
Vážení rodiče.
Chtěla bych Vás upozornit na navýšení částky Úplaty za předškolní vzdělávání (školné), která je platná od 1. 9. 2023. Znamená to tedy, že do 20. 8. 2023 zaplatíte již navýšenou částku 650 Kč na měsíc září 2023.
Výpočet úplaty za předškolní vzdělávání.
Vážení rodiče.
Již několikátý školní rok je naše mateřská škola zapojena do projektu, který ve školním roce 2023/2024 nese název „Potravinová pomoc dětem v sociální nouzi v Jihomoravském kraji pro školní rok 2023/2024" (dříve „Poskytování bezplatné stravy dětem ohroženým chudobou ve školách v Jihomoravském kraji“). Předmětem dotačního programu je podpora dětí z rodin v hmotné nouzi formou příspěvku na zajištění bezplatného stravování.
V případě, že zákonný zástupce dítěte bude uplatňovat bezplatné školní stravování, musí do 30. 6. 2023 ředitelce MŠ doložit:
1) čestné prohlášení (formulář si můžete vyzvednout u vaší třídní učitelky, případně u ředitelky MŠ)
2) potvrzení o pobírání dávky v hmotné nouzi
Bc. Jana Křivánková, ředitelka MŠ
Ve středu 21. 6. bude vedoucí stravování vybírat čipy a vracet zálohy rodičům dětí, které končí docházku do MŠ, nebo přechází do logopedické třídy.
Vážení rodiče,
ve středu 26. 4. od 15:30 Vás srdečně zveme na naši tradiční akci "Pálení čarodějnic".
V pátek 31. 3. 2023 se v dopoledních hodinách uskuteční školní akce „ODEMYKÁNÍ ZAHRADY SE SKŘÍTKEM OSADNÍČKEM“.
V pondělí 20. 3. 2023 v 15:45 se koná informační schůzka pro rodiče dětí, které se zúčastní Školy v přírodě. Schůzka proběhne ve třídě A v malém pavilonu. Na schůzce uhradíte doplatek 800Kč. Účast nutná!!!
Vzhledem k tomu, že v červenci bude mateřská škola uzavřena a v srpnu bude provoz omezen pouze na 14 dní v termínu od 7. – 18. 8. 2023, stanovila ředitelka MŠ NA OSADĚ, Brno, Koperníkova 6 podle §6 odstavce 5 vyhlášky č. 14/ 2005 Sb. úplatu za předškolní vzdělávání takto:
- Červenec 0,- Kč
- Srpen 300,- Kč
Prosíme rodiče, aby úhradu za měsíc srpen zaplatili v květnu společně s úhradou za měsíc červen.
Bc. Jana Křivánková, ředitelka MŠ NA OSADĚ
Mateřská škola NA OSADĚ, Brno, Koperníkova 6 bude zajišťovat prázdninový provoz od 7. - 18. 8. 2023.
Od 3. do 7. 7. a od 21. 8. do 1. 9. 2023 budou všechny mateřské školy v MČ Brno - Židenice zavřeny.
Prázdninový provoz v náhradních mateřských školách v Brně - Židenicích bude zahájen od 10. 7. 2023. Podrobnější informace najdete na nástěnkách u jednotlivých tříd nebo ZDE: Prázdninový provoz MŠ - tabulka.
Školní rok 2023/2024 bude zahájen v pondělí 4. 9. 2023.
Vážení rodiče,
připomínáme uzavření mateřské školy o vánočních prázdninách, a to od pátku 23. 12. 2022 - do pondělí 2. 1. 2023. Provoz mateřské školy bude zahájen v úterý 3. 1. 2023.
Přejeme Vám krásné vánoční svátky a hodně zdraví do nového roku!
Za celý kolektiv MŠ NA OSADĚ Jana Křivánková, ředitelka MŠ.
Vážení rodiče.
Připomínáme uzavření mateřské školy ve čtvrtek 17. 11. - státní svátek a v pátek 18. 11. - ředitelské volno. Uzavření mateřské školy bylo projednáno a schváleno na třídních schůzkách dne 6. 9. 2022. V případě Vaší nepřítomnosti Vás třídní učitelky kontaktovaly osobně. Provoz bude obnoven v pondělí 21. 11. 2022.
Bc. Jana Křivánková
Ředitelka MŠ
Srdečně zveme všechny děti a rodiče na tradiční školní akci ZAMYKÁNÍ ZAHRADY SE SKŘÍTKEM OSADNÍČKEM.

Přihlášku do kroužku Věda nás baví najdete na www.vedanasbavi.cz (vyberte město, školku a vyplňte přihlášku). Kroužek se bude konat každé pondělí od 15:00 do 15:45. První lekce začíná 3. 10. 2022.
Vážení rodiče, můžete přihlašovat své děti do kroužků Seznamování s angličtinou a Plavání, zápisem jeho značky na plakátku v šatně. Do kroužku Tančíme pro radost (čtvrtek od 15.00 do 15.45h) použijte pro zápis QR kód, který jste dostali v MŠ na informačním letáčku, nebo pomocí tohoto linku.
V úterý 6. 9. 2022 v 16. 00 hod. budou ve třídě C (Žluťásci) schůzky rodičů.
Program:
- Informace na školní rok 2022/2023
- Informace Sdružení rodičů OSADNÍČEK
- Informační schůzky s třídními učitelkami v jednotlivých třídách
Prosíme všechny rodiče o účast bez přítomnosti dětí!
Výběr zálohy na čipy pro nové děti (100 Kč) a výdej čipů, bude probíhat v pátek 2. 9. od 6.30 do 9.00 u paní učitelky ve spojovací chodbě.
Čtvrtek 1. 9. – zahájení provozu MŠ
Středa 28. 9. - státní svátek - MŠ uzavřena.
Podzimní prázdniny: středa 26. 10. a čtvrtek 27. 10. - omezení provozu podle počtu nahlášených dětí.
Pátek 28. 10. - státní svátek - MŠ uzavřena.
Čtvrtek 17. 11. - státní svátek - MŠ uzavřena.
Vánoční prázdniny: pátek 23. 12. - pondělí 2. 1. 2022 - MŠ uzavřena (provoz začne v úterý 3. ledna 2023).
Pololetní prázdniny: pátek 3. 2. - omezení provozu podle počtu nahlášených dětí.
Jarní prázdniny: pondělí 13. 3. - neděle 19. 3. - omezení provozu podle počtu nahlášených dětí.
Velikonoční prázdniny: čtvrtek 6. 4. - omezení provozu podle počtu nahlášených dětí.
Pátek 7. 4. a pondělí 10. 4. - státní svátek - MŠ uzavřena.
Letní prázdniny: sobota 1. 7. - neděle 3. 9. 2023, provoz MŠ bude upřesněn.
Prázdniny již pomalu končí, věříme, že jste si je s dětmi hezky užili.
INFORMACE NA ŠKOLNÍ ROK 2022/2023
- Školní rok začíná ve čtvrtek 1. 9. (MŠ otevřena od 6:30 hod.)
- V případě, že Vaše dítě nebude první den obědvat, je potřeba odhlásit oběd do středy 31. 8. do 12 hod.
Co potřebuje Vaše dítě do MŠ:
- papučky s plnou patou
- oblečení do třídy
- oblečení na pobyt venku
- náhradní oblečení (včetně spodního prádla)
- pyžamo
- pláštěnku
- plastový hrníček
Vše řádně podepsané.
První den rodiče podepíší a vyplní:
1/POTVRZENÍ O BEZINFEKČNOSTI
2/ SEZNÁMENÍ SE ŠKOLNÍM ŘÁDEM
3/ POVĚŘENÍ
4/ ADAPTAČNÍ DOTAZNÍK
- první den počítejte s delším zdržením při předávání dětí (vyplňování potřebných dokumentů)
- další informace čtěte na nástěnkách v šatnách MŠ
Celý kolektiv mateřské školy se těší na Vaše děti.
Více informací naleznete v newsletteru MAP II.
Vážení rodiče,
vzhledem k situaci, která nastala s navýšením cen potravin rozhodla ředitelka MŠ ve spolupráci s vedoucí stravování o navýšení měsíční zálohy na stravování. Navýšení částky je platné od 1. září 2022.
Platba zálohy na měsíc září 2022 proběhne do 20. 8. 2022:
- Děti 3-6 let záloha 900 Kč
- Děti s odkladem školní docházky záloha 1 000 Kč
Oznámení o konání zvláštního zápisu do předškolního vzdělávání ve školním roce 2022/2023 podle § 2 zákona č. 67/2022 Sb. (Lex Ukrajina školství)
Žádost o přijetí dítěte k předškolnímu vzdělávání
Заява про зарахування дитини до дошкільного навчального закладу

Zveme všechny děti z MŠ a rodiče NA SLAVNOSTNÍ ROZLOUČENÍ S PŘEDŠKOLÁKY "PASOVÁNÍ NA PRVŇÁČKY"

Ve čtvrtek 9. června v 10 hodin bude pro děti na školní zahradě přichystaná akce "POMÁHÁME ZVÍŘÁTKŮM", která je organizovaná záchrannou stanicí Ptačí centrum.

Vážení rodiče.
Chtěla bych Vás upozornit na navýšení částky Úplaty za předškolní vzdělávání (školné), která je platná od 1. 9. 2022. Znamená to tedy, že do 20. 8. 2022 zaplatíte již navýšenou částku 600 Kč na měsíc září 2022.
Výpočet úplaty za předškolního vzdělávání.
Vážení rodičeꓹ
v úterý 3. 5. od 15:30 Vás srdečně zveme na naši tradiční akci „Pálení čarodějnic“.

Vážení rodiče,
vzhledem k tomu, že mateřská škola bude z důvodu oprav po celé prázdniny uzavřena, stanovila ředitelka MŠ NA OSADĚ, Brno, Koperníkova 6 podle §6 odstavce 5 vyhlášky č. 14/ 2005 Sb. úplatu za předškolní vzdělávání na měsíce červenec a srpen/2022 takto:
- Červenec 0 Kč
- Srpen 0 Kč
Prosíme rodiče, aby si zrušili po dobu letních prázdnin (červenec, srpen) trvalé příkazy v bance (školné, stravné).
V pátek 22. 4. 2022 se v dopoledních hodinách uskuteční školní akce „ODEMYKÁNÍ ZAHRADY SE SKŘÍTKEM OSADNÍČKEM“.

V případě příznivých epidemických podmínek bude probíhat "Den otevřených dveří" v naší mateřské škole dne 13. 4. 2022:
- dopoledne: 9.00 - 11.00 hod.
- odpoledne: 15.00 - 16.00 hod.
Vážení rodiče,
dovolujeme si Vás informovat o nabídce nového online semináře k tématu „Připravenost dítěte na vstup do mateřské školy“.
Seminář je určen pro rodiče, jejichž děti by měly od 1. 9. 2022 nastoupit do mateřské školy. Letáček s bližšími informacemi naleznete ZDE
Mateřská škola NA OSADĚ, Brno, Koperníkova 6 bude po celé prázdniny uzavřena.
Důvodem jsou opravy chodníků a teras v objektu mateřské školy.
Prázdninový provoz v náhradních mateřských školách v MČ Brno-Židenice bude zajištěn od 1. 7. – do 12. 8. 2022 (viz tabulka „Prázdninový provoz mateřských škol v městské části Brno-Židenice v roce 2022“)
Od 15. 8. – do 31. 8. 2022 budou všechny mateřské školy v MČ Brno-Židenice uzavřeny.
Přihlášky k prázdninovému pobytu dítěte si mohou rodiče vyzvednout v příslušné mateřské škole ve středu 2. března 2022 v době od 8.00 do 16.00 hodin.
Termín pro odevzdání přihlášky je ve středu 16. března 2022 v době od 8.00 do 16.00 hodin.
Kritéria pro přijetí dítěte: bydliště v MČ Brno-Židenice, přednost mají děti zaměstnaných rodičů.
Školní rok 2022/2023 bude zahájen ve čtvrtek 1. 9. 2022.
Vážení rodiče.
Vzhledem k tomu, že v letošním školním roce bude o vánočních prázdninách mateřská škola uzavřena déle než 5 dnů (23. 12. 2021 – 2. 1. 2022), budeme Vám vracet poměrnou část za předškolní vzdělávání (školné) a to částku 150 Kč. Tato částka Vám bude vrácena na Váš účet. V případě, že školné platíte v hotovosti, máte možnost, vyzvednout si tuto částku v pokladně MŠ ve středu 15. 12. 2021.
Provoz mateřské školy začíná v pondělí 3. 1. 2022.
Přejeme Vám klidný adventní čas.
Bc. Jana Křivánková, ředitelka MŠ
V rámci projektu MAP Brno II se můžete zdarma zúčastnit vzdělávacích seminářů. Více informací.
Srdečně Vás zveme na tradiční školní akci "Zamykání zahrady se skřítkem Osadníčkem", která se uskuteční v úterý 2. 11. v 16:00 hod. na zahradě MŠ.
Více informací
Vážení rodiče.
Připomínáme uzavření mateřské školy v pátek dne 29. 10. 2021. Uzavření mateřské školy bylo projednáno a schváleno na třídních schůzkách dne 9. 9. 2021. V případě Vaší nepřítomnosti Vás třídní učitelky kontaktovaly osobně. Provoz bude obnoven v pondělí 1. 11. 2021.
Bc. Jana Křivánková
Ředitelka MŠ
Vážení rodiče. Připomínáme uzavření mateřské školy v pondělí dne 27. 9. 2021. Uzavření mateřské školy bylo projednáno a schváleno na třídních schůzkách dne 9. 9. 2021. V případě Vaší nepřítomnosti Vás třídní učitelky kontaktovaly osobně. Provoz bude obnoven ve středu 29. 9. 2021.
Bc. Jana Křivánková
Ředitelka MŠ
Ve čtvrtek 9. 9. 2021 v 16.00 hod. budou ve třídě C (Žluťásci) schůzky rodičů.
Program:
- Informace na školní rok 2021/2022
- Informace Sdružení rodičů OSADNÍČEK
- Informační schůzky s třídními učitelkami v jednotlivých třídách
Prosíme všechny rodiče o účast bez přítomnosti dětí!
V provozu mateřských škol se nic nemění a nadále se umožňuje osobní přítomnost na vzdělávání všem dětem v mateřské škole bez nutnosti testování. Děti v mateřské škole jsou vyjmuty z povinnosti nosit ochranný prostředek.
Veškerá další opatření najdete ve Školním řádu na školní rok 2021/2022.
Výběr zálohy na čipy pro nové děti (100 Kč) a výdej čipů bude probíhat ve čtvrtek 2. 9. od 7.00 do 9.00 u paní učitelky ve spojovací chodbě.
Úterý 28. 9. - státní svátek - MŠ uzavřena.
Podzimní prázdniny: středa 27. 10. a pátek 29. 10. - omezení provozu podle počtu nahlášených dětí.
Čtvrtek 28. 10. - státní svátek - MŠ uzavřena.
Středa 17. 11. - státní svátek - MŠ uzavřena.
Vánoční prázdniny: čtvrtek 23. 12. - neděle 2. 1. 2022 - MŠ uzavřena.
Pololetní prázdniny: pátek 4. 2. - omezení provozu podle počtu nahlášených dětí.
Jarní prázdniny: pondělí 7. 3. - neděle 13. 3. - omezení provozu podle počtu nahlášených dětí.
Velikonoční prázdniny: čtvrtek 14. 4. - omezení provozu podle počtu nahlášených dětí.
Pátek 15. 4. a pondělí 18. 4. - státní svátek - MŠ uzavřena.
Letní prázdniny: pátek 1. 7. - středa 31. 8. 2022 , provoz MŠ bude upřesněn.
Prázdniny již pomalu končí, věříme, že jste si je s dětmi hezky užili.
INFORMACE NA ŠKOLNÍ ROK 2021/2022
Co potřebuje Vaše dítě do MŠ:
Vše řádně podepsané.
První den rodiče podepíší a vyplní:
1/POTVRZENÍ O BEZINFEKČNOSTI
2/ SEZNÁMENÍ SE ŠKOLNÍM ŘÁDEM
3/ POVĚŘENÍ
4/ ADAPTAČNÍ DOTAZNÍK
- první den počítejte s delším zdržením při předávání dětí (vyplňování potřebných dokumentů)
- další informace čtěte na nástěnkách v šatnách MŠ
Celý kolektiv mateřské školy se těší na Vaše děti.
Vážení rodiče, příspěvky prosím do 31. 8. 2021 neposílejte! Nelze je zaúčtovat, musíme je vracet. Příspěvky bude Osadníček přijímat až od začátku dalšího školního roku.
Více informací ZDE.
PLATBY ZA PŘEDŠKOLNÍ VZDĚLÁVÁNÍ (ŠKOLNÉHO):
Úplatu za předškolní vzdělávání v měsíci srpnu (poměrnou část) zaplatí rodiče převodem do 15. června 2021 a to i v případě, že bude dítě odhlášeno!
Povinnost platby za předškolní vzdělávání (školného) o letních prázdninách se týká všech rodičů, kteří platí školné v daném školním roce (školní rok trvá od 1. 9. – 31. 8.).
PLATBY STRAVNÉHO:
Stravné za měsíc srpen (podle přihlášených dnů) rodiče zaplatí převodem do 15. června.
Trvalé příkazy v bance (školné a stravné) na prázdniny (červenec, srpen) pozastavte!
Vážení rodiče,
provoz mateřské školy pro všechny děti bude zahájen v pondělí 10. 5. 2021. Jednotlivé třídy budou otevřeny podle původního rozvrhu, který je zakotven ve Školním řádu. Mateřské školy budou otevřeny bez povinnosti testování dětí. Nadále platí, že vstup třetích osob do prostor mateřské školy je možný jen v nezbytně nutných případech.
Platby na měsíc květen:
V pondělí 10. 5. 2021 budou všechny děti nahlášeny na stravování. Nezapomeňte své dítě odhlásit obvyklým způsobem (do pátku 7. 5. do 12 hod.) ze stravy v případě, že v pondělí do mateřské školy nepřijde.
Jana Křivánková, ředitelka MŠ
Odbor školství a mládeže připravil pro rodiče předškolních dětí ONLINE seminář, který se koná dne 29. 4. 2021 s lektorkou Mgr. Jiřinou Bednářovou. Seminář je hrazen z projektu MAP II. Registrace je možná do 27. 4. 2021 do 18:00 hod. Více informací.
Odbor školství a mládeže srdečně zve na semináře realizované v rámci projektu MAP II. Více informací.
Děkujeme dětem a rodičům, kteří se zapojili do našeho velikonočního tvoření a přišli pověsit krásné ozdoby na vrbu.

Vážení rodiče,
od pondělí 12. 4. 2021 zahajujeme provoz mateřské školy pro děti, které plní povinné předškolní vzdělávání (s účinností od 1. 9. 2017, od počátku školního roku, který následuje po dni, kdy dítě dosáhne pátého roku věku, do zahájení povinné docházky dítěte, je předškolní vzdělávání povinné (Předškolní vzdělávání § 34 zákona 561/2014 Sb. o předškolním, základní, středním, vyšším odborném a jiném vzdělávání školský zákon).
Dále také pro děti rodičů vybraných profesí. Do těchto skupin povolání patří zaměstnanci poskytovatelů zdravotních služeb, pedagogičtí pracovníci, kteří zajišťují prezenční výuku (a tedy také tuto péči) ve školách a případně školských zařízeních, zaměstnanci bezpečnostních sborů, příslušníci ozbrojených sil, zaměstnanci orgánů ochrany veřejného zdraví, zaměstnanci uvedení v § 115 odst. 1 a další zaměstnanci v sociálních službách podle zákona č. 108/2006 Sb., o sociálních službách, ve znění pozdějších předpisů, zaměstnanci Úřadu práce České republiky, zaměstnanci České správy sociálního zabezpečení a okresních správ sociálního zabezpečení a zaměstnanci Finanční správy České republiky.
Žádáme rodiče, aby v případě potřeby umístění dítěte do MŠ (pouze vybrané profese – viz výše) oznámili tuto skutečnost ředitelce MŠ a to nejpozději do pátku 9. 4. do 12. 00 hod na e-mail info@msnaosade.cz. Rovněž je nutné přihlásit dítě ke stravování ve školní kuchyni. Rodiče těchto dětí se ráno před testováním prokážou potvrzením od zaměstnavatele, že spadají do skupiny vybraných profesí.
Testování dětí
Ráno, při příchodu do MŠ musí rodiče své dítě otestovat (rodiče test dostanou v MŠ). Rodiče počkají na výsledek testu cca 15 min., a v případě, že bude test negativní, mohou své dítě převléknout a předat třídní učitelce. Testování bude probíhat 2x týdně (pondělí, čtvrtek a případně i jiný den vždy před nástupem dítěte do MŠ) ve „spojovací chodbě“ mezi pavilony.
Organizace:
Omlouvání dětí, které mají povinné předškolní vzdělávání
V případě, že se dítě z nějakého důvodu nemůže účastnit povinného předškolního vzdělávání, je zákonný zástupce povinen své dítě řádně omluvit.
Způsob omlouvání povinného předškolního vzdělávání:
Nepřítomnost dítěte musí zákonný zástupce doložit vždy nejpozději do tří dnů od začátku nepřítomnosti na předepsaný formulář. Vzhledem ke vzniklé situaci je možné omluvit dítě emailem zastupkyne@msnaosade.cz.
Organizace vzdělávání
V pondělí 12. 4. budou v provozu všechny třídy od 6. 30 – do 16. 30 hod., kromě třídy F-Berušky. Děti ze třídy Berušek budou rozděleny ve třídě B-Včeličky, D- Bělásci.
Platby
Školné:
Stravné:
Informace k zápisu do Mateřské školy NA OSADĚ, Brno, Koperníkova 6, pro školní rok 2021/2022
Přihlášky (Žádosti o přijetí ) ke krátkodobému prázdninovému pobytu dětí z ostatních mateřských škol v Brně – Židenicích si mohou rodiče vyzvednout ve středu 10. 3. od 8 hod – do 16 hod ve vestibulu mateřské školy.
Vážení rodiče.
Jak již asi všichni víte, vláda na svém jednání 26. února 2021 rozhodla vzhledem k vážné epidemické situaci o dalších změnách v provozu škol a školských zařízení od 27. února 2021.
MŠMT - školy - režim od března
Mateřská škola je tedy od pondělí 1. 3. 2021 pro děti uzavřená. V souvislosti s událostmi Vás dále informuji:
- Ošetřovné – formulář si můžete stáhnout na stránkách www.cssz.cz, podle nových pravidel škola již nevyplňuje žádné potvrzení.
- Školné – prosím o zrušení příkazu na školné za měsíc březen/2021
- Přihlášky na prázdninový pobyt - způsob vyzvednutí formulářů (přihlášky na prázdninový pobyt) je v řešení se zřizovatelem. O způsobu vyzvednutí formulářů Vás budeme informovat prostřednictví našich webových stránek.
- Distanční výuka- na našich webových stránkách najdete pro své předškoláky nové materiály.
- Nové informace - sledujte prosím Vaši emailovou poštu a naše webové stránky.
Přeji všem hodně trpělivosti a pevného zdraví.
Jana Křivánková, ředitelka školy
Karneval bude v prvním týdnu v březnu, termín bude ještě upřesněn.
Vážení rodiče, milé děti
Znovu nás CORONA omezila v docházce do mateřské školy. Posíláme Vám několik pracovních listů a přejeme Vám, ať se práce daří!
Těší se na Vás kamarádi a Vaše paní učitelky.
Nabídka seminářů pro rodiče budoucích prvňáčků - letáček.
Mateřská škola NA OSADĚ, Brno, Koperníkova 6 bude zajišťovat prázdninový provoz od 2. 8. – do 13. 8. 2021.
Od 16. 8. – do 31. 8. 2021 budou všechny mateřské školy v MČ Brno-Židenice zavřené.
Prázdninový provoz v náhradních mateřských školách v Brně-Židenicích bude zahájen od 1. 7. 2021.
Podrobnější informace najdete na nástěnkách u jednotlivých tříd nebo ZDE: Informace o prázdninovém provozu, Prázdninový provoz MŠ - tabulka.
Školní rok 2021/2022 bude zahájen ve středu 1. 9. 2021.
Vážení rodiče,
provoz mateřské školy bude obnoven v úterý 19. 1. 2021. Vzhledem ke stále vysokému riziku nákazy, prosíme všechny rodiče, pokud mají možnost, aby své děti vodili i vyzvedávali v provozní době třídy, kam dítě chodí.
Nadále trvá upozornění na zvýšenou bezpečnost dětí v areálu MŠ z důvodu výkopových prací, branka z ulice Stará osada zůstává uzamčená.
Děkujeme za pochopení a těšíme se na setkání.
Za celý tým mateřské školy, Jana Křivánková, ředitelka MŠ.
Vážení rodiče.
Krajská hygienická stanice uzavřela mateřskou školu z důvodu výskytu COVID-19 a to od úterý 12. 1. 2021 do odvolání. V případě příznivé situace může být provoz obnoven v úterý 19. 1. 2021.
O situaci Vás budeme informovat prostřednictvím webových stránek školy, případně na Váš osobní e-mail.
Bc. Jana Křivánková, ředitelka MŠ
Vážení rodiče.
Vzhledem k probíhajícím opravám havárie vody a s tím souvisejících výkopových prací, bude z bezpečnostních důvodů branka z ulice Stará osada (na zahradě MŠ) a vstup do zadní části zahrady uzavřen. Branka bude uzavřena po celou dobu oprav. Vstup do MŠ je možný pouze z ulice Koperníkova.
Děkujeme za pochopení.
Vážení rodiče.
Předně bych Vám chtěla popřát do nového roku, aby se Vám vše dařilo, abyste byli zdraví a abyste měli ze svých dětí radost.
Bohužel, v naší mateřské škole došlo k havárii vody, která se zatím nepodařila odstranit. Vzhledem k závažné situaci může dojít ke krajnímu řešení - přerušení provozu mateřské školy do doby, než se podaří závadu odstranit. Pevně doufáme, že tomuto krajnímu řešení nedojde. Vzhledem k probíhajícím pracím, jsou na zahradě výkopy. Prosím, abyste dbali zvýšené bezpečnosti vašich dětí.
V případě nutnosti přerušení provozu Vás budeme předem informovat.
Bc. Jana Křivánková, ředitelka MŠ
Vážení rodiče,
připomínáme uzavření mateřské školy o vánočních prázdninách a to od středy 23. 12. 2020 do neděle 3. 1. 2021. Provoz mateřské školy bude zahájen v pondělí 4. 1. 2021.
Přejeme Vám krásné vánoční svátky a hodně zdraví do nového roku!
Za celý kolektiv MŠ NA OSADĚ Jana Křivánková, ředitelka MŠ.
Naše mateřská škola se zúčastnila Vánoční sbírky pro záchrannou stanici Ptačí centrum. Děkujeme všem rodičům a dětem za velké množství přineseného krmiva a za finanční dar.
Fotografie.
Fotografie.
Fotografie.
Fotografie.
Zájemci o Edukativně stimulační skupiny se mohou hlásit u své třídní paní učitelky. Více informací.
Vážení rodiče.
Připomínáme uzavření mateřské školy v pondělí dne 16. 11. 2020. Uzavření mateřské školy bylo projednáno a schváleno na třídních schůzkách dne 9. 9. 2020. V případě Vaší nepřítomnosti Vás třídní učitelky kontaktovaly osobně.
Provoz bude obnoven ve středu 18. 11. 2020.
Vážení rodiče, milé děti.
Vzhledem k tomu, že velké množství dětí zůstává ještě doma, přesouváme akci “Zamykání zahrady“ na příští týden ve čtvrtek 12. 11. 2020 v dopoledních hodinách na zahradě naší mateřské školy. Naší snahou je, aby se příjemného dopoledne se zamykáním zahrady mohlo zúčastnit co nejvíce dětí.
Těšíme se na Vás, Váš kolektiv MŠ NA OSADĚ.
Po dobu nouzového stavu jsou všechny kulturní akce a environmentální výukové programy zrušeny.
Informace k naší tradiční akci Zamykání zahrady najdete ZDE.
Vážení rodiče.
Vzhledem k tomu, že došlo k velké absenci předškolních dětí, připravili jsme pro ně k vypracování pracovní listy, které najdete v distančním vzdělávání. Vypracované pracovní listy si zakládejte, a jakmile začnou děti chodit znovu do školky, pracovní listy předáte své třídní učitelce k založení. Pokud někdo nemá možnost vytisknout pracovní listy, může si je v mateřské škole vyzvednout v pondělí 26. 10. od 8 – 12 hod. v kanceláři ředitelky MŠ, nebo ve třídě Včeliček. Pracovní listy mohou děti vypracovávat během 14 dnů. Přejeme všem hodně radosti při práci a těšíme se na setkání v mateřské škole.
Informace pouze pro logopedickou třídu:
Prosíme rodiče, aby s dětmi denně několikrát procvičovali podle logopedického sešitu.
Pracovní list pro rozvoj řeči ke stažení zde.
básnička:
Brambora
Koulela se za dvora, tááákhle velká brambora.
Neviděla, neslyšela, že na ni padá závora.
Kam koukáš ty závoro, na tebe ty bramboro.
Kdyby tudy projel vlak, byl by z tebe bramborák!
Vážení rodiče,
vzhledem k současné zhoršující se situaci šíření COVID-19 jsme se rozhodli zrušit Kouzelnické představení (středa 7. 10.).
Ve středu 9. 9. 2020 v 16.00 hod. ve třídě C (Žluťásci) se konají schůzky rodičů. Prosíme všechny rodiče o účast bez přítomnosti dětí.
Program:
- Informace na školní rok 2020/21
- Informace Sdružení rodičů OSADNÍČEK
- Informační schůzky s třídními učitelkami v jednotlivých třídách
Vzhledem k epidemiologické situaci není možné vydávat obědy do jídlonosičů. Oběd lze odhlásit do 7 hod. toho dne. Děkujeme za pochopení.
Výběr zálohy na čipy pro nové děti (100 Kč) a výdej čipů bude probíhat ve čtvrtek 3. 9. v hodinách od 7.00 do 9.00 u vedoucí stravování.
1. Informace k provozu školy
- s dítětem do MŠ vstupuje vždy jeden rodič
- v šatně se rodiče zdržují pouze po dobu nezbytně nutnou
- doporučujeme rodičům vstup do mateřské školy s rouškou
- po vstupu do mateřské školy si rodič dezinfikuje ruce (dezinfekce je umístěna při vstupech do MŠ)
- vstup je zakázán osobám vykazujícím známky onemocnění
- rodič nahlásí třídní učitelce případné změny kontaktů.
2. Informace k hygienickým pravidlům MŠ
- u vstupů do mateřské školy jsou umístěny dávkovače s dezinfekcí
- děti si po vstupu do mateřské školy důkladně myjí ruce
- opakovaně se provádí větrání tříd, omývání klik a jiných ploch dezinfekčním prostředkem
- pokud dítě bude jevit známky onemocnění, bude rodič ihned informován a dítě si vyzvedne co nejdříve
- dítě setrvá (pod dozorem) do příchodu rodiče v samostatné místnosti
- dětem s přetrvávajícími příznaky infekčního onemocnění, které jsou projevem chronického onemocnění, včetně alergického onemocnění, je umožněn vstup do mateřské školy pouze v případě, prokáže-li, že netrpí infekční nemocí. Tuto skutečnost potvrzuje dětský lékař.
- v případě výskytu onemocnění covid – 19 v mateřské škole rozhoduje o případné karanténě příslušná KHS
- pokud bude chybět většina dětí, pro které je předškolní vzdělávání povinné, budeme těmto dětem poskytovat vzdělávání distančním způsobem.
Všechna opatření se mohou měnit na základě doporučení KHS a MZd dle aktuálního vývoje nemoci v regionu (tzv. Semafor).
Prázdniny již pomalu končí, věříme, že jste si je s dětmi hezky užili.
INFORMACE NA ŠKOLNÍ ROK 2020/2021
- Školní rok začíná v úterý 1. 9. (MŠ otevřena od 6:30 hod.)
- V případě, že Vaše dítě nebude první den obědvat, je potřeba odhlásit oběd do pondělí 31. 8. do 12 hod.
- V úterý 1. září dostanou rodiče nových dětí variabilní symbol, pod kterým budou provádět pravidelné platby školného a stravného vždy do 15. dne v měsíci.
- Vzhledem k hygienickým opatřením nebude rodičům umožněn vstup s dítětem do třídy v rámci adaptace.
Co potřebuje Vaše dítě do MŠ:
- papučky s plnou patou
- oblečení do třídy
- oblečení na pobyt venku
- náhradní oblečení (včetně spodního prádla)
- pyžamo
- pláštěnku
- plastový hrníček
Vše řádně podepsané.
První den rodiče podepíší a vyplní:
1/POTVRZENÍ O BEZINFEKČNOSTI
2/ SEZNÁMENÍ SE ŠKOLNÍM ŘÁDEM
3/ POVĚŘENÍ
4/ ADAPTAČNÍ DOTAZNÍK
- první den počítejte s delším zdržením při předávání dětí (vyplňování potřebných dokumentů)
- další informace čtěte na nástěnkách v šatnách MŠ
Celý kolektiv mateřské školy se těší na Vaše děti.
Pondělí 28. 9. - státní svátek - MŠ uzavřena.
Středa 28. 10. - státní svátek - MŠ uzavřena.
Podzimní prázdniny čtvrtek 29. 10. - pátek 30. 10. - omezení provozu podle počtu nahlášených dětí.
Úterý 17. 11. - státní svátek - MŠ uzavřena.
Vánoční prázdniny středa 23. 12. - pátek 1. 1. 2021 - MŠ uzavřena.
Pololetní prázdniny pátek 29. 1. - omezení provozu podle počtu nahlášených dětí.
Jarní prázdniny pondělí 22. 2. - pátek 26. 2. - omezení provozu podle počtu nahlášených dětí.
Velikonoční prázdniny čtvrtek 1. 4. - omezení provozu podle počtu nahlášených dětí, pátek 2. 4. a pondělí 5. 4. - státní svátek - MŠ uzavřena .
Letní prázdniny - čtvrtek 1. 7. - úterý 31. 8. 2021, provoz MŠ bude upřesněn .
Přejeme všem dětem a jejich rodičům krásné letní prázdniny! Budeme se na Vás těšit v úterý 1. září 2020.
Podle §6 odstavce 5 vyhlášky č. 14/2005 Sb. stanovila ředitelka MŠ NA OSADĚ, Brno, Koperníkova 6 úplatu za předškolní vzdělávání po dobu letních prázdnin, kdy bude mateřská škola uzavřena z důvodu oprav takto:
- ČERVENEC: 0 Kč
- SRPEN: 0 Kč
Prosíme rodiče, aby zrušili po dobu letních prázdnin (červenec, srpen) trvalé příkazy v bance na platby v MŠ (školné, stravné).
V úterý 16. 6. bude vedoucí stravování vybírat čipy a vracet zálohy rodičům dětí, které končí docházku do MŠ, nebo přechází do logopedické třídy.
V měsíci červnu, nebude možné z hygienických důvodů vydávat první den nepřítomnosti dítěte oběd domů, rodiče se mohou odhlašovat do 7.00 hod ráno (telefonicky, nebo zprávou SMS).
Milí rodiče,
máme pro Vás informace k otevření naší mateřské školy. Pozorně si přečtěte tento dokument Dodatek ke školnímu řádu - Obnovení provozu MŠ NA OSADĚ. Najdete v něm veškeré potřebné informace. První den docházky budete odevzdávat Čestné prohlášení, prosíme o jeho vytisknutí a vyplnění.
Těšíme se na Vaše děti.
Milí rodiče,
vzhledem k tomu, že naše mateřská škola je již delší dobu uzavřena, rozhodli jsme se Vám nabídnout soubor pracovních listů rozvíjejících jednotlivé oblasti vzdělávání. Najdete je v bočním menu pod názvem Náměty na vzdělávání.
Dále bychom Vás chtěli požádat o zapojení Vašich dětí do kreativní výzvy s názvem „Co jsem dělal/a v době pandemie“. Kresli, fotografuj… Obrázky děti přinesou do mateřské školy po zahájení provozu.
O zahájení provozu mateřské školy Vás budeme informovat prostřednictvím našich webových stránek.
Doporučení pro rodiče dětí předškolního věku, které vzniklo v rámci projektu MAP Brno II za účelem podpory rodin s dětmi, které navštěvují mateřské školy si můžete přečíst ZDE.
Vážení rodiče.
Vzhledem k současné mimořádné situaci, kdy byl provoz mateřských škol z nařízení Rady města Brna č. 5/2020 ze dne 17. 3. 2020 zakázán, bude úplata za předškolní vzdělávání, které se týká období od 17. 3. 2020 do odvolání, vrácena zákonným zástupcům.
V Brně 1. 4. 2020.
Bc. Jana Křivánková, ředitelka MŠ NA OSADĚ, Brno, Koperníkova 6.
Z rozhodnutí Rady města Brna bude naše mateřská škola od úterý 17. 3. 2020 do odvolání UZAVŘENA. Dopis k dočasnému uzavření MŠ.
Vláda svým usnesením ze dne 12. 3. 2020 vyhlásila nouzový stav... Více informací.
V případě potřeby žádejte o formulář "Žádost o ošetřovné" pouze na tomto e-mailu: zadostocr@seznam.cz. K žádosti připojte jméno, příjmení, rodné číslo a datum narození dítěte. V žádosti vyplní ředitelka MŠ část A, orazítkuje, podepíše a oskenovaný formulář pošle e-mailem zpět. Žádost si doma vytisknete, vyplníte část B a doručíte vašemu zaměstnavateli.
Do odvolání jsou zrušeny všechny kroužky (Sportík, Zumba, Seznamování s angličtinou, Edukativně stimulační skupiny, Věda nás baví) a akce v naší MŠ.
Vážení rodiče.
Vzhledem k mimořádným opatřením v souvislosti s prevencí šíření nákazy koronavirem, došlo do odvolání k omezení provozu i v naší mateřské škole. Provoz bude probíhat podle aktuálního počtu dětí ve třídách Včeliček (B), Žluťásků (C) a podle potřeby ve třídě Bělásků (D). Dále Vás žádáme, abyste do mateřské školy vodili pouze děti, které jsou zcela zdravé.
Bc. Jana Křivánková, ředitelka MŠ
V úterý 10. 3. v 15:45 se NEKONÁ informační schůzka pro rodiče dětí. O náhradním termínu schůzky Vás budeme informovat.
Vážení rodiče,
kroužek "Věda nás baví", přijme další děti. V případě, že budete mít zájem, můžete se přijít podívat na ukázku práce ve středu 22. 1. v 15.00 hod. v pracovně AN, kde bude kroužek probíhat.
Přejeme Vám příjemné prožití vánočních svátků a hodně zdraví, štěstí a úspěchů v novém roce. Na Vaše děti se budeme těšit v pondělí 6. ledna 2020.
Mateřská škola bude z důvodu oprav výměníkové stanice uzavřena celé prázdniny. Provoz MŠ končí v úterý 30. 6. 2020.
Prázdninový provoz v náhradních mateřských školách v Brně-Židenicích bude zahájen od 7. 7. 2020 – do 14. 8. 2020.
Od 1. 7. – do 3. 7. a od 17. 8. – do 31. 8. 2020 budou všechny mateřské školy v MČ Brno-Židenice zavřeny.
Prázdninový provoz mateřských škol v městské části Brno-Židenice v roce 2020 ZDE.
Provoz MŠ končí v pátek 20. 12. 2019. Do pátku 3. 1. 2020 je MŠ uzavřena. Provoz začíná v pondělí 6. 1. 2020.
Vážení rodiče,
naše mateřská škola se nebude účastnit stávky pedagogických pracovníků ve středu 6. 11. 2019. Provoz mateřské školy bude beze změn.
Srdečně Vás zveme na naši tradiční akci "Zamykání zahrady se skřítkem Osadníčkem", která se uskuteční ve čtvrtek 7. 11. 2019 v 16:00 hodin na zahradě MŠ. Více informací ZDE.
Zájemci o Edukativně stimulační skupiny se mohou hlásit u své třídní paní učitelky. Více informací ZDE.
V týdnu od 14. 10. budou kroužky ve dnech:
- pondělí 14. 10. Sportovní a míčové hry
- úterý 15. 10. Zumba
V týdnu od 21. 10. budou kroužky ve dnech:
- úterý 22. 10. Sportovní a míčové hry
- čtvrtek 24. 10. Zumba
Od 1. 11. 2019 bude změna platby stravného. Více informací ZDE.
Odbor školství připravil cyklus seminářů věnovaných přípravě dětí v mateřské škole na vstup do 1. třídy.
Ve středu 11. 9. 2019 v 16. 00 hod. ve třídě C (Žluťásci) se konají schůzky rodičů. Prosíme všechny rodiče o účast bez přítomnosti dětí (v případě nutnosti, mohou děti zůstat ve třídě D - Bělásci).
Program :
- Informace na školní rok 2019/20
- Informace o kroužcích na MŠ
- Informace Sdružení rodičů OSADNÍČEK
- Informační schůzky s třídními učitelkami v jednotlivých třídách
Záloha na čipy pro nové děti (100,-Kč) se bude hradit ve středu 4. 9. V hodinách od 7.00 do 9.00 u paní učitelky Němčanské, která bude sídlit ve vestibulu malé budovy (u tříd „A“ a „B“).
Na základě potvrzení o uhrazení příslušné částky vám třídní učitelka vydá čip.